ᕕ( ᐛ )ᕗ Jimyag's Blog

Newcoder Top 101 二叉树

· 741 words · ~ 4 min read

牛客算法必刷 TOP101,包含:链表、二分查找/排序、二叉树、堆/栈/队列、哈希、递归/回溯、动态规划、字符串、双指针、贪心算法、模拟总共 101 道题。

此部分是二叉树专题

牛客网 (nowcoder.com)

二叉树的前序遍历

描述

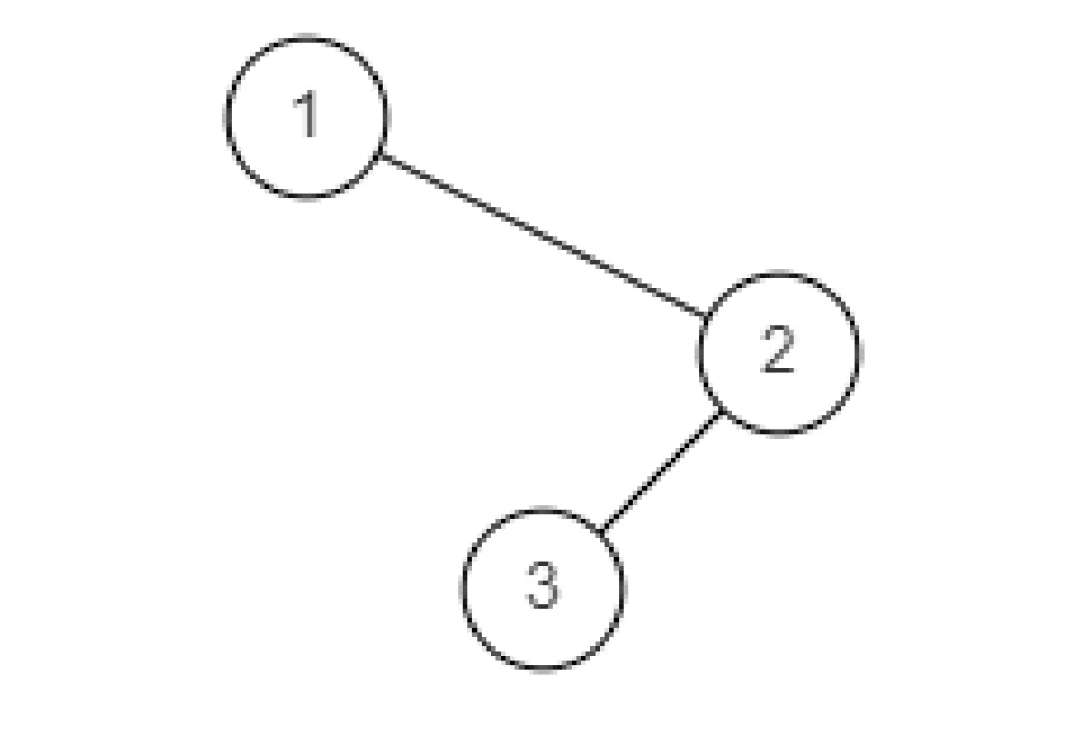
给你二叉树的根节点 root,返回它节点值的 前序 遍历。

数据范围:二叉树的节点数量满足$ 0 \le n \le 100$ ,二叉树节点的值满足 $1 \le val \le 100$ ,树的各节点的值各不相同

示例 1:

img

解析

解析 1-递归

按照前序遍历的定义,先遍历中间结点,接着遍历左孩子,在遍历右孩子。

 1
 2
 3
 4
 5
 6
 7
 8
 9
10
11
12
13
14
void preorderTraversal(vector<int> &res,TreeNode*root){
        if(root==nullptr){
            return ;
        }
        res.push_back(root->val);
        preorderTraversal(res, root->left);
        preorderTraversal(res, root->right);
    }
    
    vector<int> preorderTraversal(TreeNode* root) {
        vector<int> res;
        preorderTraversal(res,root);
        return res;
    }

解析 2-迭代法

递归的方式使用到了函数栈,我们也可以自己用栈进行模拟。

对于前序遍历,我们先访问中间结点,再访问左边结点,最后访问右结点。但是根据栈的特性:先进后出。应该先放入右结点,再放入左结点。

 1
 2
 3
 4
 5
 6
 7
 8
 9
10
11
12
13
14
15
16
17
18
19
20
21
22
23
24
vector<int> preorderTraversal(TreeNode* root){
    vector<int> res;
    if(root==nullptr){
        return res;
    }
    // 辅助栈
    stack<TreeNode*> help;
    help.push(root);
    // 不为空就继续
    while(!help.empty()){
        TreeNode*temp = help.top();
        help.pop();
        res.push_back(temp->val);
        // 要先放入右孩子
        if(temp->right){
            help.push(temp->right);
        }
        // 再放入左孩子
        if(temp->left){
            help.push(temp->left);
        }
    }
    return res;
}

二叉树的中序遍历

描述

给定一个二叉树的根节点 root,返回它的中序遍历结果。

数据范围:树上节点数满足 $0 \le n \le 1000$,树上每个节点的值满足 $0 \le val \le 1000$ 进阶:空间复杂度 O(n),时间复杂度 O(n)

示例 1

输入:

1
{1,2,#,#,3}

返回值:

1
[2,3,1]

说明:

img

示例 2

输入:

1
{}

返回值:

1
[]

示例 3

输入:

1
{1,2}

返回值:

1
[2,1]

说明:

img

示例 4

输入:

1
{1,#,2}

返回值:

1
[1,2]

说明:

img

解析

解析 1-递归法

根据题意进行模拟

 1
 2
 3
 4
 5
 6
 7
 8
 9
10
11
12
13
14
15
16
17
void inorderTraversal(vector<int> &res,TreeNode* root){
        if(root==nullptr){
            return ;
        }
        if(root->left){
            inorderTraversal(res,root->left);
        }
        res.push_back(root->val);
        if(root->right){
            inorderTraversal(res,root->right);
        }
    }
    vector<int> inorderTraversal(TreeNode* root) {
        vector<int>res;
        inorderTraversal(res,root);
        return res;
    }

解析 2-迭代法

由于中序遍历是先访问左孩子,我们就要先找到左孩子,一直要找到树叶的左孩子。一直深度优先找到左孩子,然后访问左孩子,之后访问中间结点,之后对右孩子进行这样迭代遍历。

 1
 2
 3
 4
 5
 6
 7
 8
 9
10
11
12
13
14
15
16
17
18
vector<int> inorderTraversal(TreeNode* root){
    vector<int>res;
    if(root==nullptr){
        return res;
    }
    stack<TreeNode*>help;
    while(root||!help.empty()){
        while(root){
            help.push(root);
            root = root->left;
        }
        TreeNode*temp = help.top();
        help.pop();
        res.push_back(temp->val);
        root = temp->right;
    }
    return res;
}

二叉树的后序遍历

描述

给定一个二叉树,返回他的后序遍历的序列。

后序遍历是值按照 左节点->右节点->根节点 的顺序的遍历。

数据范围:二叉树的节点数量满足 $0 \le n \le 100$,二叉树节点的值满足 $1 \le val \le 100$ ,树的各节点的值各不相同

样例图

img

解析

解析 1-递归

根据题意进行模拟

 1
 2
 3
 4
 5
 6
 7
 8
 9
10
11
12
13
 void postorderTraversal(vector<int>&res,TreeNode*root){
        if(root==nullptr){
            return;
        }
        postorderTraversal(res,root->left);
        postorderTraversal(res,root->right);
        res.push_back(root->val);
    }
    vector<int> postorderTraversal(TreeNode* root) {
        vector<int>res;
        postorderTraversal(res,root);
        return res;
    }

解析 2-迭代

根据后序遍历“左右中”的顺序,那么后序遍历也与中序遍历类似,要先找到每棵子树的最左端节点:

1
2
3
4
5
//每次找到最左节点
while(root != NULL){ 
    s.push(root);
    root = root->left;
}

然后我们就要访问该节点了嘛?不不不,如果它还有一个右节点呢?根据“左右根”的原则,我还要先访问右子树。我们只能说它是最左端的节点,它左边为空,但是右边不一定,因此这个节点必须被看成是这棵最小的子树的根。要怎么访问根节点呢?

我们都知道从栈中弹出根节点,一定是左节点已经被访问过了,因为左节点是子问题,访问完了才回到父问题,那么我们还必须要确保右边也已经被访问过了。如果右边为空,那肯定不用去了,如果右边不为空,那我们肯定优先进入右边,此时再将根节点加入栈中,等待右边的子树结束。

1
2
3
4
//该节点再次入栈
s.push(node);
//先访问右边
root = node->right;

不过,当右边被访问了,又回到了根,我们的根怎么知道右边被访问了呢?用一个前序指针 pre 标记一下,每个根节点只对它的右节点需要标记,而每个右节点自己本身就是一个根节点,因此每次访问根节点的时候,我们可以用 pre 标记为该节点,回到上一个根节点时,检查一下,如果 pre 确实是它的右子节点,哦那正好,刚刚已经访问过了,我现在可以安心访问这个根了。

1
2
3
4
5
6
7
//如果该元素的右边没有或是已经访问过
if(node->right == NULL || node->right == pre){ 
    //访问中间的节点
    res.push_back(node->val); 
    //且记录为访问过了
    pre = node; 
}

具体做法:

  • step 1:开辟一个辅助栈,用于记录要访问的子节点,开辟一个前序指针 pre。
  • step 2:从根节点开始,每次优先进入每棵的子树的最左边一个节点,我们将其不断加入栈中,用来保存父问题。
  • step 3:弹出一个栈元素,看成该子树的根,判断这个根的右边有没有节点或是有没有被访问过,如果没有右节点或是被访问过了,可以访问这个根,并将前序节点标记为这个根。
  • step 4:如果没有被访问,那这个根必须入栈,进入右子树继续访问,只有右子树结束了回到这里才能继续访问根。

图示:

alt

 1
 2
 3
 4
 5
 6
 7
 8
 9
10
11
12
13
14
15
16
17
18
19
20
21
22
23
24
25
26
27
28
    vector<int> postorderTraversal(TreeNode* root) {
        vector<int>res;
        stack<TreeNode*>help;
        TreeNode*pre = nullptr;
        while(root||!help.empty()){
            //每次先找到最左边的节点
            while(root){
                help.push(root);
                root = root->left;
            }
            //弹出栈顶
            TreeNode*temp = help.top();
            help.pop();
            //如果该元素的右边没有或是已经访问过
            if(temp->right==nullptr||temp->right==pre){
                //访问中间的节点
                res.push_back(temp->val);
                //且记录为访问过了
                pre = temp;
            }else{
                //该节点入栈
                help.push(temp);
                //先访问右边
                root = temp->right;
            }
        }
        return res;
    }

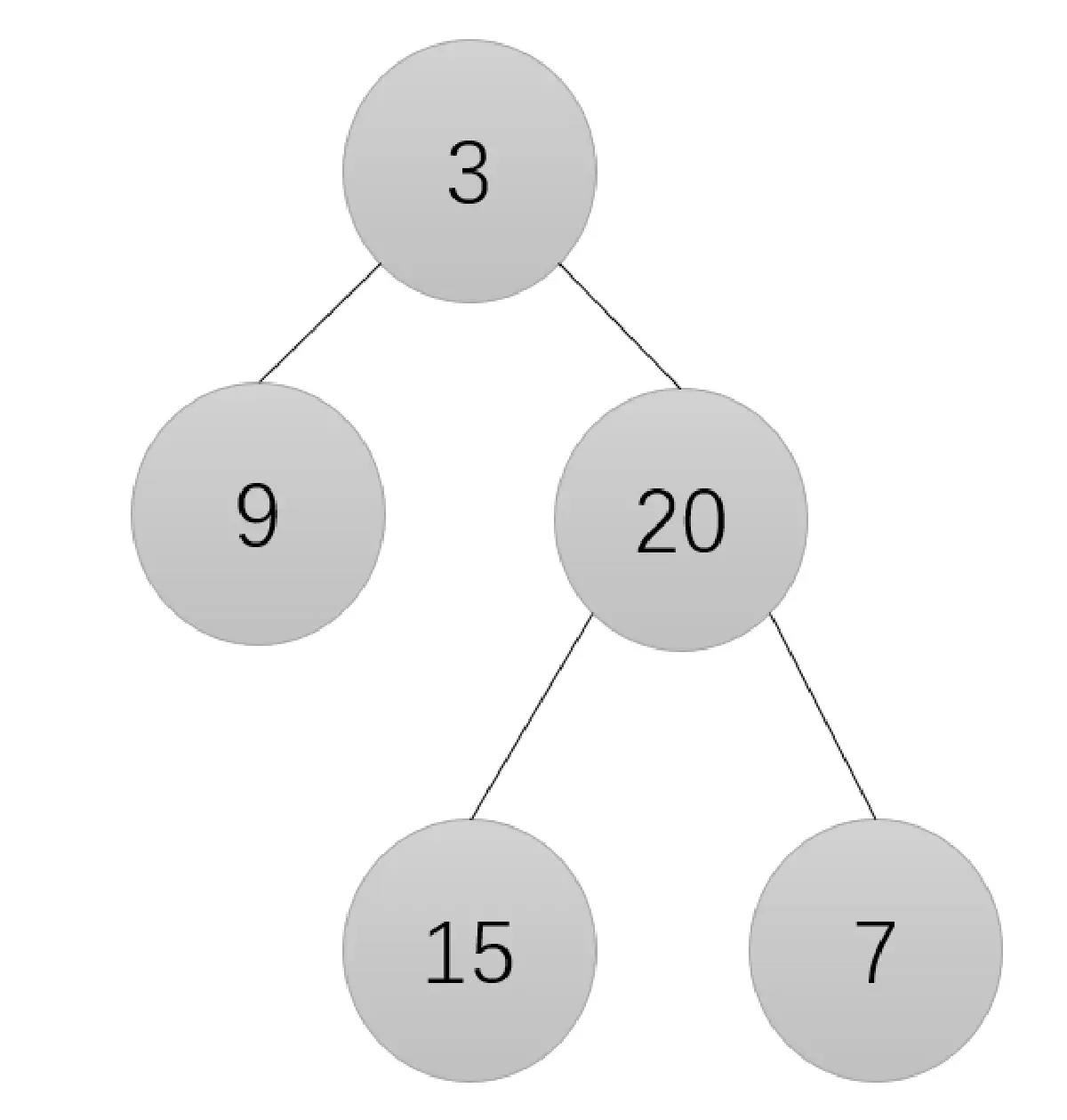
求二叉树的层序遍历

描述

给定一个二叉树,返回该二叉树层序遍历的结果,(从左到右,一层一层地遍历) 例如: 给定的二叉树是{3,9,20,#,#,15,7},

img

该二叉树层序遍历的结果是

[[3], [9,20], [15,7]]

数据范围:二叉树的节点数满足 $1 \le n \le 10^5$

解析

主要思路:广度优先,一层一层的遍历二叉树, 1、遍历到一个节点,将左右个孩子加入队列; 2、一次遍历二叉树的一层; 3、怎么确定能遍历一层:每次遍历队列,先记录队列的大小 size,出队 size 次,这些值即为一层,存入 res 数组,并通过 1、2 将下一层的节点存入队列;

 1
 2
 3
 4
 5
 6
 7
 8
 9
10
11
12
13
14
15
16
17
18
19
20
21
22
23
24
25
26
27
28
29
30
  vector<vector<int> > levelOrder(TreeNode* root) {
        vector<vector<int>> res;
        if(root==nullptr){
            return res;
        }
        queue<TreeNode*> q;
        q.push(root);
        while(!q.empty()){
            // 对每一层都进行处理
            int size = q.size();
            vector<int> levelVals;
            // 这一层右多少个结点
            while(size--){

                TreeNode* cur = q.front();
                q.pop();
                levelVals.push_back(cur->val);
                // 将这层的孩子结点加入队列
                if(cur->left){
                    q.push(cur->left);
                }
                if(cur->right){
                    q.push(cur->right);
                }
            }
            // 这层的结果
            res.push_back(levelVals);
        }
        return res;
    }

按之字形顺序打印二叉树

描述

给定一个二叉树,返回该二叉树的之字形层序遍历,(第一层从左向右,下一层从右向左,一直这样交替)

数据范围:0≤n≤1500,树上每个节点的 val 满足 |val| <= 1500

要求:空间复杂度:O(n),时间复杂度:O(n)

解析

如果我们不按照之字形打印二叉树,只是按照层遍历,那么就成了层序遍历。在层序遍历中都是从左到右遍历,之字形是要相反的,先放进“队列”里面的要最后出来。如下图

alt

可以用两个栈交替保存“父节点和子节点”。

 1
 2
 3
 4
 5
 6
 7
 8
 9
10
11
12
13
14
15
16
17
18
19
20
21
22
23
24
25
26
27
28
29
30
31
32
33
34
35
36
37
38
39
40
41
42
43
44
45
46
47
48
49
vector<vector<int> > Print(TreeNode* pRoot) {
        TreeNode* head = pRoot;
        vector<vector<int>> res;
        if(head==nullptr){
            return res;
        }
     // 交替保存 父亲节点和子节点
        stack<TreeNode*> cen;
        stack<TreeNode*> children;
        cen.push(head);
     // 如果有一个不为空就可以执行
        while(!cen.empty() || !children.empty()){
            vector<int> temp;
            // 父亲节点有 这里的父亲节点和子节点是相对的,由于这里一次可以遍历两层,所以第一层就是父亲节点,
            while(!cen.empty()){
                TreeNode*node  = cen.top();
                temp.push_back(node->val);
               // 父亲节点,是从左到右 要先从左孩子判断
                if(node->left){
                    children.push(node->left);
                }
                if(node->right){
                    children.push(node->right);
                }
                cen.pop();
            }
            if(temp.size()){
                res.push_back(temp);
            }
            temp.clear();
           // 孩子不为空就是
            while(!children.empty()){
                TreeNode*node = children.top();
                temp.push_back(node->val);
               // 偶数层是从右向左遍历的,要先开始判断右边的。
                if(node->right){
                    cen.push(node->right);
                }
                if(node->left){
                    cen.push(node->left);
                }
                children.pop();
            }
            if(temp.size()){
                res.push_back(temp);
            }
        }
        return res;
    }

总结

刷题时间

时间 题目
5-3 前序遍历
5-3 中序遍历
5-3 后序遍历
5-4 层序遍历
6-22 按之字形打印二叉树

总结

  1. 前序遍历要先遍历中间结点,之后遍历左孩子,再遍历右孩子,但是要先在栈中放入右孩子,再放入左孩子。
  2. 中序遍历是要先遍历左孩子,之后遍历中间结点,再遍历右孩子。要找到最左边的孩子,就要深度优先可是进行搜索 (root = root->left),之后访问中间结点。对访问的中间结点的右孩子也执行这个过程。
  3. 后序遍历看解析
  4. 层序遍历是要记录当前层有多少个结点,对这些结点进行遍历。
  5. 按之字形打印是交替打印的,要考虑好两层的打印方式

#算法 #牛客 TOP101